Optical System for the LBDS



The sensor optics consists of an imaging lens system and a telescopic lens system. The imaging lens system focuses the reflected laser light onto the active area of the sensor array. The imaging lens was selected based on several criteria. It should have an adjustable focal length within a range around the desired focal length, a field-of-view large enough to capture the width of an entire lane, and be compact for easy integration into the outdoor system.



Figure 1: Standard Lens Parameter

     Figure 1, above, shows standard lens parameters used in the following calculations. Based on the assumptions that the lane width (ho) is around 3.05 m (10.0 ft), the unit will be mounted about 6.40 m (21.0 ft) above the roadway ,and the sensor is 7.5 mm (0.295 in) long , an image distance was calculated for the sensor using Equation 1. It was determined that = 15.8 mm (0.620 in).



Equation 1

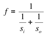
     The desired focal length of the lens was then calculated using Equation 2.



Equation 2

     The focal length was calculated to be 15.7 mm (0.616 in). As a practical matter, the sensor array is placed at the focal point of the imaging lens system.

     The imaging lens selected, a Tamron 23VM816, has an adjustable focal length of between 0.315 in (8 mm) and 0.630 in (16 mm) and was selected because of this feature. The Tamron lens is also suitably compact and has a field of view that should be large enough to capture the entire lane width. Any lens system that has the correct focal length and an acceptable field-of-view could be used.

     The telescopic lens system is mounted in front of the imaging lens system. It is designed to restrict the field-of-view of the imaging lens along the width of the laser line, but not alter the field-of-view along the length of the line. Because the laser line is much longer than it is wide, use of the imaging lens alone would result in a much wider strip of pavement being visible to the sensor than is desired. The telescopic lens system is used to match the dimensions of the laser line image with those of the sensor array.

     The imaging lens selected, a Tamron 23VM816, has an adjustable focal length of between 0.315 in (8 mm) and 0.630 in (16 mm) and was selected because of this feature. The Tamron lens is also suitably compact and has a field of view that should be large enough to capture the entire lane width. Any lens system that has the correct focal length and an acceptable field-of-view could be used.



Figure 2: Optical Rays

     The telescopic lens system consists of one positive plano-cylindrical lens and one negative plano-cylindrical lens. The prototype uses a 250 mm focal length cylindrical lens and a -12.70 mm focal length cylindrical lens, both manufactured by Melles Griot Inc. These lenses are positioned to form a Galilean telescope. When positioned correctly the cylindrical lenses will not effect the proper operation of the imaging lens. The ratio of the focal length of these lenses is approximately equal to the ratio of the width of the uncorrected field-of-view of the sensor to the desired field-of view.

     The uncorrected field of view, about 13cm (5 in), results in a critical height of about 1.8 m (6.0 ft). To ensure vehicle detection, it is necessary to have a critical height somewhere below the bumper height of the vehicle. A height of around 46cm (18 in) was thought to be acceptable. To achieve this, it is necessary to restrict the field of view to about 2.3cm (0.92 in). This is a factor of reduction of about 5. In our case, where f1 = 250 mm and f2 = -12.70 mm, the factor of reduction is equal to about -7.9 (the negative sign indicates an inverted image), giving us a field of view of about 16 mm (0.63 in). The factor of reduction is commonly referred to as the angular magnification of the system. A ray of light entering the system from the left at an angle 1 rad. exits the system at the right at an angle 2 rads. equal to 1 rad. * (f1/f2). This causes objects to the left to appear larger than they actually are. This is how the field of view is reduced. A sensor on the right of the telescopic system will have its field of view reduced by a factor equal to the angular magnification of the system. The telescopic system does not alter the position or focus of the image. Objects that are properly focused by the imaging lens remain in focus when the telescopic system is added.